有奖竞答、漫“话”安全……六月份以来,工程安撤公司工会结合企业实际,突出学习实效,以“安全有我·平安万家”为主题,把安全知识融合于寓教于乐、丰富多彩的安全活动中,扎实开展群众安全守护行动,营造了“人人讲安全、全员保平安”的浓厚氛围。

“回撤液压支架时,人员如何做到安全站位?”
“观察液压支架的运行状态,人员要闪开液压支架及……”
“回答正确,送您一瓶洗衣液,工作中一定要时刻牢记安全第一。”
为进一步提升职工安全意识,该公司工会利用基层单位班前会时段,组织开展安全知识有奖问答活动。他们以安全生产法律法规、“八抓20项”创新举措及安撤专业应知应会等知识为重点,采取随机抽取、一问一答方式,在知识与趣味并重的氛围中,激发出职工学习安全知识的热情,提升了职工安全意识和规范操作能力。
该公司还将有奖问答活动与“爱岗·爱家·爱枣矿”主题宣讲相结合,向职工讲述安全对个人、对家庭、对企业的重要意义,引导职工珍惜岗位、按章作业,确保把安全生产贯穿到各项工作始终。


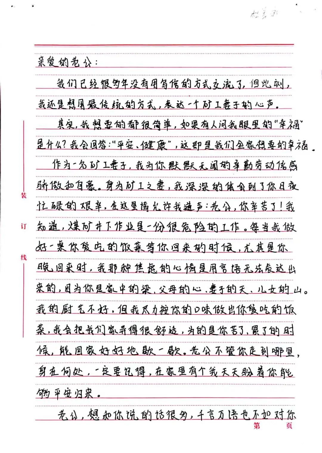
“亲爱的老公,你的平安是我和孩子最大的心愿……”
一封家书,纸短情长,字里行间饱含着家人的爱。亲情是最好的感化剂,该公司把关心人、理解人、尊重人、爱护人作为安全教育工作的出发点,组织开展“安全家书寄亲人”活动,以父母写给儿子、妻子写给丈夫、儿女写给父亲等形式表达出亲人间对安全的期盼和祝愿,用亲情筑起安全生产的坚实屏障。他们还把安全家书张贴在会议室,推送到公众号,提醒职工时刻牢记家人叮嘱,紧绷安全生产这根弦。
该公司工会还通过开展漫“话”安全活动,把对安全法规的认识、体会融入到书画中,利用“画里有话”的方式,给予职工警示和启迪,引导大家时刻把安全牢记心中。

“我认为,在安全警示教育中,多用具体的数据和事例,来增强大家对生命的敬畏……”
“事故多是安全站位不当造成的,可以把安全正确站位方式,张贴在井下各岗点……”
该公司以“人人讲安全”为主题,采取大讨论、大家谈等方式,开展“我为安全献一计”活动,通过共同交流对安全管理认识以及对做好安全生产工作的想法和建议,增强职工安全责任意识,形成人人抓安全、人人讲安全的良好氛围。
他们还紧盯安全短板弱项,开展管理创新、“五小”创新征集评审活动,通过集全员智慧,推动安全工作提质增效。